ITパスポート試験 令和6年度分 解説
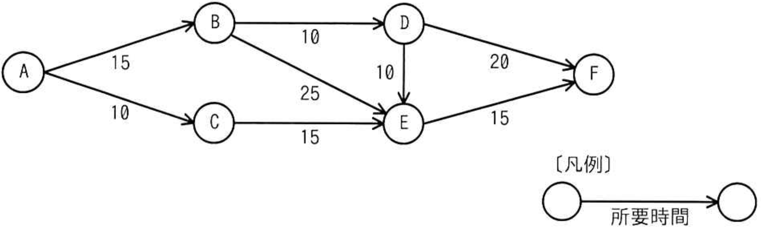
問41 あるプロジェクトの作業間の関係と所要時間がアローダイアグラムで示されている。このアローダイアグラムのBからEの四つの結合点のうち, 工程全体の完了時間に影響を与えることなく, その結合点から始まる全ての作業の開始を最も遅らせることができるものはどれか。 ここで, 各結合点から始まる作業はその結合点に至る作業が全て完了するまで開始できず, 作業から次の作業への段取り時間は考えないものとする。 
ア B
イ C
ウ D
エ E
解説
アローダイアグラムの各作業の所要時間と関係を基に、最早開始時刻(ES)と最遅開始時刻(LS)を計算してフロート(余裕時間)を求めます。プロジェクト全体の所要時間はクリティカルパス上の合計時間で決まります。クリティカルパス上の作業はフロートがゼロであり、これらの作業を遅らせるとプロジェクト全体の完了が遅れます。一方、フロートがある作業は、その分だけ開始を遅らせることができます。計算の結果、結合点Cから始まる作業が最大のフロートを持つため、工程全体の完了時間に影響を与えずに最も遅らせることができます。したがって、正解はイです。